TAE o Tasa Anual Equivalente o también Tasa Anual Efectiva es una referencia orientativa del coste real de una inversión o préstamo y sirve para comparar, de forma homogénea, productos financieros con distintos intereses nominales, plazos de devengo y comisiones si estamos hablando de préstamos.
TAE es un indicador que, en forma de tanto por ciento anual, revela el coste o rendimiento efectivo de un producto financiero y es el tipo de interés (TIN) al que se paga en un único pago en un plazo de 1 año. En definitiva nos indica cuál va a ser el coste o rentabilidad real en un periodo de un año.
La TAE asume la tesis de un tipo de interés compuesto y que los intereses obtenidos se reinvierte al mismo tipo de interés. Además, puede que sea ligeramente diferente en función del producto del que se trate, puesto que este concepto se utiliza tanto para los productos de ahorro como para todos los tipos de préstamos.
¿Cómo se calcula a partir del TIN?
El TIN es el Tipo de Interés Nominal, es la compensación que recibe el propietario del dinero por cederlo temporalmente. Dicha compensación puede tener diferentes plazos o periodos de devengo, los más normales son:
- Al vencimiento (en función del plazo del producto).
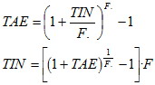
Si no consideramos ningún tipo de gastos, las relaciones entre uno y otro valor es:

F.: Frecuencia de devengo de intereses o número de veces que se devenga los intereses anualmente.
¿Qué cosas no se incluye en la TAE?
- Los gastos evitables (los gastos de transferencias).
- Los gastos a abonar a terceros (notarios, gestorías, impuestos).
- Los gastos de seguros y garantías salvo los que la entidad imponga su suscripción para la concesión del crédito.
¿Si dos depósitos con el mismo TAE en qué nos fijamos para comparar?
Cuando dos depósitos que tiene el mismo TAE, y lógicamente suponemos que tiene el mismo plazo, para saber qué depósito nos dará más rentabilidad, es el que tenga el TIN más alto, o que es lo mismo, que tenga el plazo de devengo de intereses más grande posible y si es al vencimiento mejor. Porque de esta forma, obtendremos mayor rentabilidad sin preocuparnos de reinvertir los intereses en otro depósito de las mismas características.
Rellena uno de los campos TAE o TIN para obtener el valor del TIN o TAE
| Rellena uno de los campos TAE o TIN para obtener el valor del TIN o TAE |
|
|
|
Consulte y utilice otras calculadoras financieras haciendo clic aquí.
¿Qué pasa en el caso de Cetelem?
En el caso de Cetelem, el valor de TAE que indica en sus depósitos incluye las comisiones de la cuenta corriente asociada y, por lo tanto, varía en función de la cuantía del depósito.
Además, has de pensar que si contratas varios depósitos con diferentes cuantías, necesitas considerarlo como un único depósito y sumar los importes para que el banco te informe bien del TAE.
Otro añadido que hace poco útil el TAE que el banco informa, es que éste depende del plan contratado. Cetelem dispone de varios planes y con comisiones diferentes en sus cuentas. El TAE que informa es del Plan Cetelem.
En nuestra opinión es más sencillo, tener en cuenta el TIN y su TAE correspondiente sin tener en cuenta las comisiones de la cuenta, y tenerlo en mente que la cuenta, en función del plan que tengas, tienes que pagar cierta cantidad de comisiones al mes o al año.
Sin duda, que incluyan unas comisiones fijas que, encima, no serán las mismas para todos, lo complica todo.
Supongo que si lo han hecho es porque deben estar obligados por ley a hacerlo y han considerado el peor de los casos (comisión más alta aplicada sobre un único producto) para ahorrarse el tiempo que les supondría programarlo bien teniendo en cuenta todos los posibles casos.
Es Cetelem, no se les puede pedir que trbajen bien, sólo que cumplan con los mínimos…